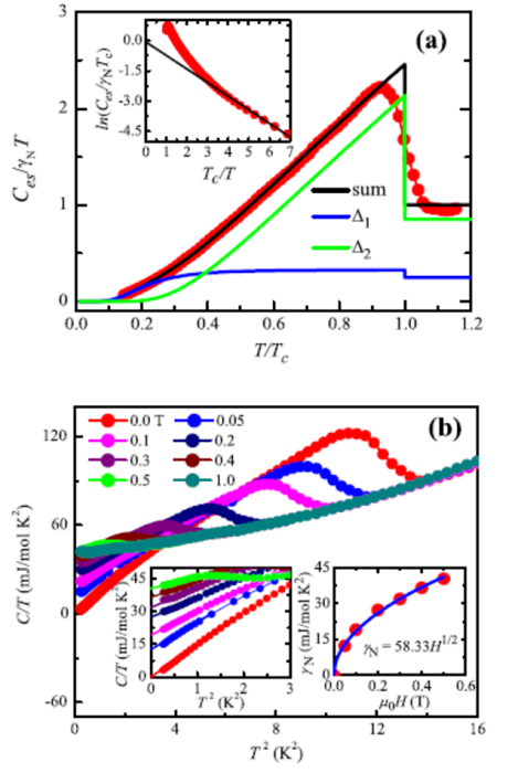
物理系方明虎教授研究组,继2010年底在(Tl,K,Rb)FexSe2化合物中发现30K超导电性,并首次提出Fe空位超格子结构,使FeSe基超导体研究成为物理学重要研究前沿(http://sciencewatch.com/sites/sw/files/sw-article/media/research-fronts-2013.pdf)之后,在2013年3月(arXiv: 1303.4658)又在TlNi2Se2和TlNi2S2化合物中首次观测到3.7K超导电性。他们在成功生长出该类化合物高品质单晶样品的基础上,通过对其超导电性、磁性、比热和上临界场等物理性质的系统观测,发现该类超导体既呈现Fe基超导体中的多能隙行为,又具有传统重费子超导体的性质。正如审稿人推荐道:“作为一个具有重费米子超导电性的d电子系统,TlNi2Se2化合物将为理解Fe基或铜氧化物超导体和传统重费米超导体微观机理提供一个重要桥梁”.



基于该类化合物超导电性的重要性,编辑特以“Editors’ Suggestion”形式,于2013年11月12日将其研究成果发表在美国物理评论快报[Phys. Rev. Lett. 111, 207001 (2013)].上,本工作得到两项国家973项目和三项国家自然科学基金项目资助。
http://prl.aps.org/abstract/PRL/v111/i20/e207001

