2018年11月5日,《Nature Communications》在线报道了pp电子游戏平台官网关联物质研究中心袁辉球/刘洋/Michael Smidman团队与杭州师范大学物理系曹超教授合作的最新研究成果:在重费米子半金属YbPtBi中发现外尔费米子的实验证据。
凝聚态物质中的拓扑序和拓扑相变是物理学中的一个重要发现,它突破了基于对称性破缺的经典朗道理论,解释了包括涡旋激发、量子霍尔效应等在内的许多新现象。近年来,人们在凝聚态材料中发现了一系列受对称性保护的拓扑量子物态,例如拓扑绝缘体、狄拉克半金属、外尔半金属等。这些拓扑材料表现出独特的电子性质,在自旋电子器件以及量子计算等方面具有独特的应用前景。寻找新型拓扑材料、揭示新的拓扑物性仍是当今前沿热点研究问题。
外尔半金属是一类重要的拓扑半金属材料,由于其准粒子低能激发与外尔费米子具有类似的性质而得名。1929年,赫尔曼×外尔(Hermann Weyl)通过对狄拉克方程做了零质量简化,得到了所谓的外尔方程,其描述的就是质量为零且具有自旋手性的外尔费米子。寻找外尔费米子一直是高能物理领域中的一个重要课题,然而迄今尚未在实验上找到相应的粒子。近年来,人们在一些凝聚态物质的电子结构中发现成对出现的外尔节点,这些外尔点在表面上的投影由费米弧连接,即一段不闭合的费米面。外尔半金属表现出许多新奇电学特性,例如线性巨磁阻,手性异常效应和反常霍尔效应等。
迄今为止,绝大部分实验中确认的外尔半金属均属于弱关联电子体系。在这些材料中,由于电子间关联效应较弱,第一性原理计算往往能比较准确地预言其能带拓扑结构,并且很快被角分辨光电子能谱等实验证实。那么,强关联电子体系中是否也存在外尔费米子?电子关联效应与拓扑序相结合后会产生什么新的现象?怎样来探测强关联电子体系中的拓扑性质?
重费米子是一类典型的强关联电子体系,通常存在于含有f-电子的镧系或者锕系金属间化合物中。在重费米子体系中,随着温度的降低,局域的f-电子通过近藤效应与导带电子集体杂化而产生巡游重电子,其有效质量高达自由电子质量的上千倍,"重费米子"因此而得名。在这类材料中,局域电子与巡游电子间的近藤相互作用还会打开一个小的杂化能隙。当费米能级位于杂化能隙之内时,材料呈现出绝缘体或者半导体行为,这类材料又称近藤绝缘体或者半导体。而在更多的情况下,费米能级穿过导带,材料表现出金属行为。因此,重费米子体系可以呈现出非常丰富的量子特性。1979年,德国科学家Frank Steglich教授(现为浙大关联物质研究中心主任)首次在重费米子金属CeCu2Si2中发现超导,这也是第一个非常规超导体。到目前为止,人们已经在40多个重费米子材料中观察到超导现象。重费米子超导表现出许多与高温超导相似的性质,对研究高温超导机理具有重要借鉴意义。另一方面,由于重费米子体系的能量尺度较低,其基态连续可调,是研究量子相变的理想体系。
图1:重费米子的形成
| 随着温度减低,局域电子与巡游电子通过近藤效应杂化而形成复合重费米子。 在高温,局域电子与巡游电子的杂化比较弱。随着温度下降(T
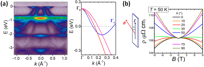
近年来,人们一直致力于在重费米子材料中寻找拓扑量子态。然而,由于电子间的多体相互作用以及较低的近藤温度,通常的能带计算和角分辨光电子能谱不再是探索强关联拓扑态的强有力手段。相应地,重费米子体系中的拓扑态研究要比弱关联电子体系复杂得多。最近,人们在SmB6等近藤绝缘体/半导体中发现了拓扑表面态的一些实验证据,在国际上引起了广泛兴趣。然而,重费米子体系中是否存在外尔费米子或者其他拓扑半金属行为还缺乏证据。 从字面意思来看,重费米子和外尔费米子的概念似乎是矛盾的。外尔费米子在理论上来说是没有质量的,而重费米子的有效质量却很重。一个没有质量的粒子又怎么会“重”呢?实际上,外尔费米子的“零质量”是指一种独特的能量色散关系:在外尔节点附近,外尔费米子的能量与它的波矢成正比关系,其比例系数是个常数。若外尔节点位于费米能级附近,该常数即为费米速度。在重费米子材料中,虽然电子有效质量大,费米速度小,但重费米子能带同样可以遵循线性色散关系。 理论上,寻找近藤外尔半金属有两种可能的途径。第一种方法是在一个存在外尔节点的半金属中,通过适当的方法引入近藤效应而使能带重整化,从而得到近藤外尔半金属相。另一种可能的方法是在近藤半金属/半导体材料中,通过调控材料的自旋-轨道耦合强度等参数,实现能带拓扑转变,从而得到近藤外尔半金属相。 图2:高温局域 f 电子态存在外尔节点的证据。 (a) 角分辨光电子能谱实验与能带计算表明该能带结构中存在三重简并点。在外加磁场下,该三重简并点将进一步劈裂成一对外尔节点。 (b)转角磁输运测量表明存在手性异常效应。 YbPtBi是一个典型的重费米子半金属材料。通过多种宏微观物性测量并结合能带计算,袁辉球教授领导的研究团队首次在该材料体系中发现了外尔费米子的实验证据,观察到外尔电子态随电子相互作用变化所呈现出来的一些新颖性质。在高温区间,4f电子是局域的,与周围的巡游电子杂化比较弱,类似于弱关联电子材料。角分辨光电子能谱测量与能带计算的结果表明,该材料的能带结构中存在三重简并点,并且位于费米面附近。在外加磁场下,这些三重简并点将进一步劈裂,从而形成外尔节点。通过转角磁阻测量,他们进一步证实了外尔节点的存在,观测到了明显的手性异常效应。随着温度的下降,局域的f电子与巡游电子杂化增强,形成有效质量很重的复合费米子,导致其费米速度迅速下降。与之相应,手性异常效应对径向磁阻的贡献迅速减少,在20K以下可以忽略。由于近藤温度较低,目前的角分辨光电子能谱的能量分辨率还不足以揭示重费米子态中的能带拓扑结构。另一方面,重费米子体系的电子比热系数很大,有利于精密测量比热随温度的变化。袁辉球教授等通过低温比热的测量,发现电子比热系数正比于温度的二次方,与理论预言的具有线性色散关系的外尔节点相吻合。此外,他们还在30K以下观察到了明显的拓扑霍尔效应,进一步表明非平庸拓扑态的存在。 |
图3:低温重费米子态存在外尔节点的实验证据。
(a)比热的温度三次方依赖关系。(b) 拓扑霍尔效应。
这些发现为研究拓扑态与电子关联效应和拓扑量子相变提供了一个新的平台。论文审稿人指出,“该工作将成为研究具有近藤相互作用的外尔费米子半金属的一个范例”。这一结果也引起了国际同行的广泛关注,已应邀在美国APS March Meeting、国际磁学会议(ICM)等多个重要国际会议上做邀请报告。
这一研究成果由pp电子游戏平台官网、杭州师范大学、美国劳伦斯-伯克利国家实验室等单位合作完成,也是关联物质研究中心各团队成员在材料制备、极端条件物性测量、谱学测量和能带计算等方面的一次完美合作。pp电子游戏平台官网物理系博士研究生郭春煜为论文第一作者,袁辉球教授为论文通讯作者,刘洋研究员负责角分辨光电子能谱测量;杭州师范大学物理系的曹超教授为该项目提供了能带计算;部分角分辨光电子能谱在美国劳伦斯-伯克利国家实验室完成。该项研究得到了国家重点研发项目、国家自然科学基金委和科学挑战专项的资助。

