pp电子游戏平台官网物理系颜波课题组在利用超冷原子进行量子模拟研究方面取得重要进展。连续在Phys. Rev. Lett.上发表两篇学术论文,对超冷原子在动量空间的量子行走和非对易量子传输进行了富有成效的研究。
1,利用超冷原子在动量空间研究拓扑量子行走
探索拓扑相是现代物理的主题之一。除了传统的固体系统中拓扑材料,拓扑现象也会在非厄米开放系统,淬火过程,周期性驱动的Floquet系统中出现。在探索处于多体纠缠或者强相互作用下的拓扑量子行走方面,冷原子体系相较于光子提供了更多的可能性。
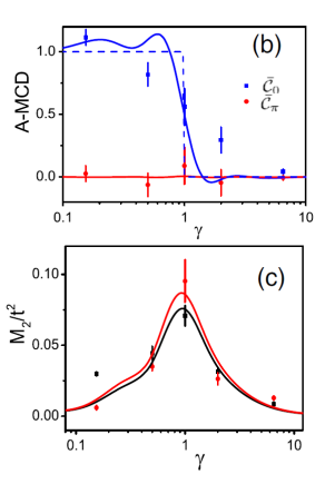
基于先前的动量晶格技术,通过设计交错的周期性驱动的Raman光,研究团队实验上实现了动量空间的超冷原子的离散量子行走,并且观测到参数改变导致的拓扑相变过程。


图1:实验示意图和相变图
利用原子之间自身的碰撞相互作用,课题组还开展了多体相有关的研究工作。通过调节动量空间类晶格结构的相邻格点的耦合强度和原子间相互作用强度之比,观测到原子在量子行走的动态过程中的原子行为从局域化变到非局域化。


图2:相互作用导致的局域化
这一成果由pp电子游戏平台官网和中国科技大学合作完成,受到科技部,国家基金委和浙江省自然科学基金的资助。pp电子游戏平台官网物理系博士研究生谢笛舟和中国科技大学物理系博士研究生邓天舒是共同第一作者,颜波研究员和中科大易为教授是共同通讯作者。
论文索引:Topological Quantum Walks in Momentum Space with a Bose-Einstein Condensate,Dizhou Xie*, Tian-Shu Deng*, Teng Xiao, Wei Gou, Tao Chen, Wei Yi, and Bo Yan,Phys. Rev. Lett. 124, 050502 (2020)
网址: https://journals.aps.org/prl/abstract/10.1103/PhysRevLett.124.050502
2,超冷原子动量空间非对易传输
在传统的量子力学中,一直以厄米算符来表示可观测的物理量,但在1998年,Bender教授等人提出非厄米算符如果满足PT(宇称-时间)对称性的话,也可以具有实数本征值,是可观测物理量。满足PT对称性的非厄米哈密顿量引起了人们的广泛关注。
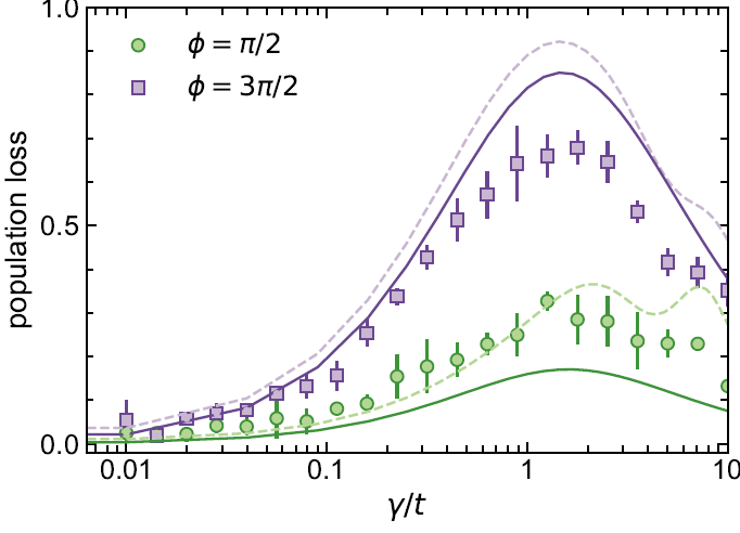
超冷原子系统具有环境干净,参数高度可控等优点,是进行量子模拟的理想平台。研究团队在玻色-爱因斯坦凝聚的基础上,通过对射的Raman Bragg激光来将处于绝对零度附近的原子耦合到不同的动量态上,实现了动量空间的一维类晶格结构。然后利用一个四光子过程将两个次近邻的格点耦合到一起,从而实现一个AB(Aharonov-Bohm)环结构。再利用另外一边的链作为热库,产生等效的损耗,从而产生一个等效的非厄米AB环结构。

图1:等效的非厄米AB环传输结构
通过调节晶格上的耦合强度以及AB环上的相位,可以控制系统的输运性质。研究人员探测了不同参数(相位,耦合强度)对体系输运性质的影响。首次在超冷原子动量空间中探测到了非对易性输运,研究了非对易传输的实验条件,并且观察到了量子芝诺效应。这项成果不仅打开了在超冷原子体系中研究非对易性多体动力学的大门,还为模拟一系列非厄米物理现象,例如趋附效应等打下良好基础。


图2:左边:相位控制的非对易传输。右边:耗散对非对易传输的影响。
这一成果由pp电子游戏平台官网和中国科技大学等合作完成,受到科技部,国家基金委和浙江省自然科学基金的资助。pp电子游戏平台官网物理系博士研究生苟维和博士后陈涛是共同第一作者,颜波研究员和中科大易为教授是共同通讯作者。
论文索引:Tunable Nonreciprocal Quantum Transport through a Dissipative A-B Ring in Ultracold Atoms. Wei Gou*, Tao Chen*, Dizhou Xie, Teng Xiao, Tian-Shu Deng, Bryce Gadway, Wei Yi, and Bo Yan, Phys. Rev. Lett. 124, 070402(2020)
网址: https://journals.aps.org/prl/abstract/10.1103/PhysRevLett.124.070402

