如果将极低温二维电子气置于垂直磁场中,单电子能量会分裂成朗道能级。当磁场较强时,系统的霍尔电导会随着磁场的变化出现量子化的平台。这些平台存在于朗道能级的填充因子为整数或者特定的分数附近,被称作整数或分数的量子霍尔效应。整数和分数量子霍尔效应分别在1980年和1982年在实验中被发现,开启了人们对拓扑物态的研究。其中,分数量子霍尔效应作为一种电子间相互作用导致的拓扑物态,由于其分数化的准粒子激发,更是吸引了人们广泛的兴趣。近期,pp电子游戏平台官网物理学系的刘钊研究员与国外同行合作,在分数量子霍尔效应的理论研究方面取得进展,连续在Physical Review Letters上发表两篇文章。
1.双层-双层转角石墨烯中的分数量子霍尔态
自量子霍尔效应被发现以来,人们一直寻求突破强磁场和低温对实现量子霍尔效应的限制。1988年,Duncan Haldane提出一种零外磁场的格点模型,当其中陈数非零的能带被电子填满时,也可以出现整数量子霍尔效应。在该图像下,二维电子气中朗道能级的角色被格点中陈数非零的能带所取代。2011年,人们开始研究格点中陈数非零的能带被电子分数填充的情况,发现在填充因子合适时有希望形成格点中的分数量子霍尔效应,也被叫做分数陈绝缘体。
近年来,摩尔超晶格材料由于其电子能带的高度可调引起了人们极大的关注。在多种摩尔超晶格中,人们已经发现电子的低能能带可以被调节的非常平坦,从而使相互作用占主导,诱发强关联现象。
近期,刘钊研究员与合作者以双层-双层转角石墨烯为例,探索在摩尔超晶格材料中实现格点分数量子霍尔效应的可能性。他们考虑电荷中性点附近带有非零陈数的导带被库仑相互作用电子分数填充的情况,通过数值对角化系统的微观哈密顿量,发现体系的低能能谱和纠缠性质在某些填充因子处确实拥有分数量子霍尔态的特征。通过调节垂直电场强度和转角,甚至可以获得没有连续介质对应的高陈数分数量子霍尔态。这些分数量子霍尔态与激发态之间的能隙换算成温度最高可达10K,远高于传统二维电子气中的mK量级。这些结果表明,摩尔超晶格材料是实现零磁场高温分数量子霍尔效应的理想平台。

(a)双层-双层转角石墨烯电荷中性点附近的导带能隙与陈数随垂直电压和转角的变化;(b)导带陈数为1时,1/3填充对应的torus几何上的低能能谱;(c) 导带陈数为2时,1/3填充对应的torus几何上的低能能谱。在(b)和(c)中,基态的近似三重简并是分数量子霍尔态的一个重要特征。
相关工作于2021年1月12日在Physical Review Letters上发表。论文第一作者是刘钊研究员,其他作者包括瑞典Stockholm University的博士生Ahmed Abouelkomsan与教授Emil J. Bergholtz。这一研究得到了国家自然科学基金面上项目的支持。
论文链接:
Gate-Tunable Fractional Chern Insulators in Twisted Double Bilayer Graphene, Zhao Liu, Ahmed Abouelkomsan, and Emil J. Bergholtz, Phys. Rev. Lett. 126, 026801 (2021).
https://journals.aps.org/prl/abstract/10.1103/PhysRevLett.126.026801
2.双层分数量子霍尔态的淬火动力学
在分数量子霍尔效应中,基态之上的激发分为电荷激发与中性激发两种。电荷激发对应的准粒子与玻色子和费米子不同,是拥有分数电荷和分数统计的任意子,有希望作为拓扑量子计算的资源。近年来,人们对分数量子霍尔系统中性激发的认识也愈加深刻,发现中性激发中含有几何自由度,对应于使系统形变所需要消耗的能量。过去,人们一般用非弹性光散射的方法探测有限动量的中性激发。
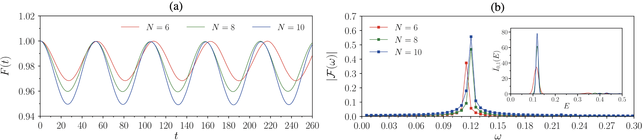
近期,刘钊研究员与合作者以一种典型的分数量子霍尔态——双层Halperin态为例,展示了量子淬火可以探测分数量子霍尔系统在长波极限下的中性激发。双层Halperin态拥有两支中性激发模:dipole模与quadrupole模,其长波极限为几何自由度,分别描述了使两层粒子产生相对位移和使系统发生各向异性形变所需要的能量。刘钊研究员与其合作者使用数值模拟实时演化,发现在一层突然施加电场后Halperin态的淬火动力学频率与dipole模的长波极限能量吻合,而突然偏转磁场后的淬火动力学不仅含有与quadrupole模长波极限吻合的频率,还包含对应于两个dipole模长波极限束缚态的频率。这项工作为分数量子霍尔系统中性激发的探测提供了与非弹性光散射互补的方法,并为从非平衡动力学的角度研究分数量子霍尔态的拓扑与几何提供了思路。

(a)在一层突然施加电场驱动量子淬火;(b)突然偏转磁场驱动量子淬火;(c)双层Halperin系统的低能激发谱,两支中性激发模清晰可见。

(a)在一层突然施加电场后,系统从Halperin态出发随时间的演化保真度出现规则震荡;(b)保真度的傅立叶变换在特定频率存在单一峰,该频率与dipole模的长波极限能量吻合。
相关工作于2021年2月19日在Physical Review Letters上作为编辑推荐发表。论文的第一作者是刘钊研究员,其他作者包括印度HBNI的研究员Ajit C. Balram,英国University of Leeds的副教授Zlatko Papić,以及美国Brown University的助理教授Andrey Gromov。这一研究得到了国家自然科学基金面上项目和科技部国家重点研发计划青年项目的支持。
论文链接:
Quench Dynamics of Collective Modes in Fractional Quantum Hall Bilayers, Zhao Liu, Ajit C. Balram, Zlatko Papić, and Andrey Gromov, Phys. Rev. Lett. 126, 076604 (2021).
https://journals.aps.org/prl/abstract/10.1103/PhysRevLett.126.076604

