由浙江大学(ZJU)和印度理工学院甘地纳格尔分校(IIT Gandhinagar)研究⼈员共同领导的国际研究团队,开发了⼀种利用受控量子退相干来加速量子电池充电的方法。该研究成果发表在期刊《npj Quantum Information》上,文中提出了一种普适的方法,在无需复杂或受限设置的情况下,依旧能够显著提升电池的充电速度。
利用量子效应提升量子机器的性能是量子热力学领域的一项重要目标。对于作为能量存储设备的量子电池而言,这一目标推动了充电功率和能量质量提升方面的研究。然而,许多现有的方法依赖于特定的限制条件,如特定的耗散模型或专门设计的电池结构。因此,开发一种简单且适用于各种系统的、快速稳定的充电策略具有重要意义。
研究团队通过提出一种利用充电系统中受控量子退相干的普适性方法解决了这一问题。他们发现,通过优化退相干强度,可以在强退相干条件下量子芝诺效应冻结能量和弱退相干条件下欠阻尼相干振荡之间达到平衡,从而实现快速充电。
这种通用方法可以在超导量子比特和核磁共振(NMR)系统等能够精确控制退相干强度的平台上得以实现。研究结果为更快速高效的量子能量存储系统铺平了道路,并对实验研究和量子技术的实际应用产生广泛影响。

图1. 充电器-电池系统示意图。

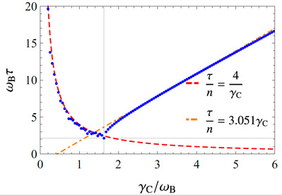
图2. 充电时间和退相干强度的函数关系图。
本研究得到了中国国家自然科学基金(NSFC)的资助。pp电子游戏平台官网的渡边元太郎(Gentaro Watanabe)和印度理工学院甘地纳格尔分校的B. Prasanna Venkatesh担任共同通讯作者。
Rahul Shastri, Chao Jiang, Guo-Hua Xu, B. Prasanna Venkatesh, and Gentaro Watanabe, Dephasing enabled fast charging of quantum batteries, npj Quantum Inf.11, 9 (2025).
文章链接:https://doi.org/10.1038/s41534-025-00959-5

