构建混合量子系统是实现多功能量子器件、量子信息处理及混合量子网络的关键一步。一个具备实际功效的混合量子系统要求其各组分之间的耦合足够强,大于两耦合子系统的耗散速率,即各子系统之间的能量交换快于它们向环境的能量耗散,从而各子系统之间实现相干耦合。迄今为止,实验上已成功实现了多种两体系统的强耦合,比如原子和光子、超导量子比特和微波光子、激子和微腔光子等,它们成为实现量子信息处理、量子模拟及量子计算等任务的重要物理平台。然而,实现更多组分之间的强耦合通常具有更大的难度,尤其是各组分对应不同物理系统的情况。
近些年,基于磁振子的腔磁振子学和量子磁振子学得到了人们的广泛关注并取得了快速的发展。磁振子系统的一个突出优势在于,它可以与众多不同的量子系统实现相干耦合,包括光频段光子、微波光子、声子、超导量子比特等,从而使得磁振子成为构建混合量子系统和量子网络的理想候选者。目前,腔磁振子学实验中已成功分别实现了磁振子与微波光子、超导量子比特的强耦合,并观测到相应的本征模式分裂。然而,实现磁振子与两种及以上不同量子激发的强耦合仍然具有很大的挑战,被认为是构建基于磁振子的混合量子系统的关键一步。
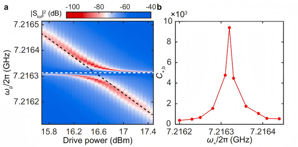
近日,pp电子游戏平台官网腔磁振子学研究团队在腔磁力学系统中实现了磁振子、光子与声子的三重强耦合。在实验上,该团队先实现了钇铁石榴石(YIG)小球磁振子模式与微波腔的强耦合,获得了二者杂化形成的磁振子极化激元(magnon polariton)。再通过精确操控系统使其工作在相干完美吸收的条件下,该团队实现了微波腔的等效增益。当腔的增益速率与磁振子的耗散速率相匹配时,极化激元的耗散速率被大大降低,实验中获得了0.78 kHz的极化激元耗散速率,比通常腔磁振子学实验中MHz量级的耗散速率低了四个量级。随后,该团队再利用磁致伸缩效应激活YIG小球形变振动的声子模式,通过对YIG小球施加一个强的微波驱动,获得了大大增强的极化激元-声子耦合,并观测到了极化激元-声子强耦合导致的本征模式分裂(见图1a)。由于极化激元是磁振子与微波腔强耦合杂化而成,其进一步与声子的强耦合意味着系统中实现了磁振子、微波光子与声子的三重强耦合。实验还测得了高达9.4×103的极化激元-声子协同系数(见图1b),比之前腔磁力学实验的结果提高了三个量级。该系统中磁振子、光子与声子三重强耦合的实现,为后续构建基于磁振子的混合量子系统迈出了坚实的一步。

图1. a 磁振子极化激元-声子强耦合引起的本征模式分裂;b 实验测得的极化激元-声子协同系数。
相关成果以“Cavity-magnon Polaritons Strongly Coupled to Phonons”为题发表在Nature Communications 16, 5652 (2025)。论文的第一作者为pp电子游戏平台官网的博士生沈瑞昌(已毕业现在香港中文大学从事博士后研究),pp电子游戏平台官网的李杰研究员和游建强教授为论文的共同通讯作者,其他作者包括pp电子游戏平台官网的朱诗尧院士、王逸璞研究员等。该研究得到了国家重点研发计划、国家自然科学基金及浙江省自然科学基金项目的支持。

