近日,pp电子游戏平台官网量子物态与器件研究中心、pp电子游戏平台官网常凯院士, 厦门大学物理科学与技术学院李运美副教授对《Physical Review Letters》上发表的题为“Topological Phase Transitions of Dirac Magnons in Honeycomb Ferromagnets”的文章中的结论提出了质疑并获得了原文审稿人的认可,并以comment发表于Physical Review Letters 132, 219601 (2024)。李运美副教授和中科院半导体所博士后魏斌为论文的共同第一作者,常凯院士为论文通讯作者,pp电子游戏平台官网量子物态与器件研究中心、pp电子游戏平台官网为论文通讯单位。
磁子是磁性系统中的元激发,一般利用线性自旋波理论来得到磁子激发谱,忽略掉了磁子相互作用。磁子间相互作用对磁子的拓扑相的影响截止目前都并未获得深入研究。原文[Phys. Rev. Lett. 127, 217202 (2021)]作者通过数值方法提出具有Dzyaloshinskii-Moriya相互作用的蜂窝状铁磁体由于磁子相互作用,温度升高会驱使磁子能谱出现拓扑相变,并预测拓扑磁子输运过程中导致热霍尔电导在临界温度处发生符号反转的现象。
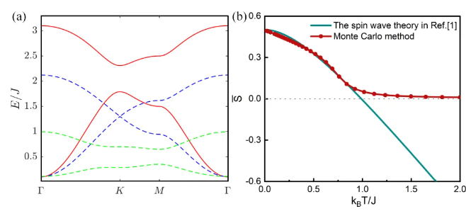
研究团队发现原文并未考虑自旋波理论的适用范围。磁子的理论依赖于有序的磁性,随着温度的升高,磁性减弱,当越过居里温度时,材料会从铁磁相进入顺磁相。顺磁相无法用自旋波理论来描述。原文在数值计算过程中并未检测磁性的演化,而其提出的导致拓扑相变的临界温度被研究团队证明就是常规居里温度。越过居里温度,原文给出的磁化由正值变为负值,这在实际系统中是不可能存在的。原文作者的结果是个数值结果,并不是真实的物理结果。通过蒙特卡洛模拟方法模拟磁化强度随温度变化的行为表明,磁化强度随着温度的升高逐渐接近于零。
评论文章澄清了磁子相互作用拓扑相方向中存在的理论误区,为以后研究磁子拓扑相提供了部分指导思路。与此研究相关,研究团队提出在反铁磁中通过破坏子格对称可实现有限温度下的磁子拓扑转变同时保证磁序的存在,发表于Phys. Rev. B 107, 214417 (2023).

图1:(a)该工作中复现自旋波理论预测的磁振子拓扑相变。(b)原文自旋波理论(蓝线)和该工作中蒙特卡罗方法(红线)给出的磁化强度随温度的变化。
该研究工作得到国家重点研发计划、国家自然科学基金面上项目、中国科学院基础前沿科学研究计划等的支持。
文章链接:https://journals.aps.org/prl/abstract/10.1103/PhysRevLett.132.219601

地址:浙大紫金港校区
电话:0571-87077539
邮编:310058
网址:/cqm/