Editor: Becky Time: 2018-11-06 Number of visits: 399
On November 5th, 2018, Nature Communications reported evidence for Weyl fermions in the heavy-fermion semimetal YbPtBi, which provides a new platform for studying the interplay of topology and electron correlations, as well as topological quantum phase transitions. This work was led by Prof. Huiqiu Yuan from the Center for Correlated Matter and Department of Physics at Zhejiang University, with collaborators from Zhejiang University, Hangzhou Normal University, Lawrence Berkeley National Laboratory and the Max-Planck Institute for Chemical Physics of Solids.
The understanding of the role played by the topology of electronic bands and topological phase transitions is one of the major recent advances in condensed matter physics, which goes beyond the Landau theory of phase transitions based on broken symmetries. Lately, many topological materials and symmetry protected states of matter have been discovered, where the resulting unique electronic properties have potential applications in spintronic devices and quantum computation. As a result, the discovery of new types of topological materials and the revelation of novel topological properties has attracted much attention in recent years.
Weyl semimetals are an important class of topological materials, where the low energy electronic excitations can be described as Weyl fermions. To date, most of the discovered Weyl semimetals have weak electronic correlations. In these materials, the repulsion between electrons does not have a major effect on the electronic properties, and as a result first-principles-calculations can readily predict the topological properties, which can be compared to experimental results from techniques such as angle-resolved photoemission spectroscopy. This poses important questions: Is it possible to find Weyl semimetals with strong electronic correlations? What novel properties can be induced when the effects of electron correlations are present in a topological system? How can the topological properties of strongly correlated materials be probed?
Heavy fermions are prototypical examples of strongly correlated systems, which are usually metallic materials containing rare earth elements with partially filled f-electron shells. Upon cooling these materials, a phenomenon called the Kondo effect occurs, where the spins of the localized f-electrons are screened by the conduction electrons. The f-electrons ultimately become delocalized, which modifies the electronic structure, giving rise to electronic bands with very large effective masses of the charge carriers. These effective masses can be thousands of times larger than those of free electrons, and hence the materials are named “heavy fermions”. Amongst the variety of novel phenomena found in heavy fermion systems, one of the most interesting is superconductivity. In 1979, Prof. Frank Steglich who is now the Director of the Center for Correlated Matter at Zhejiang University, discovered superconductivity in the heavy fermion material CeCu2Si2. Not only was this the first example of a heavy fermion superconductor, but it was also the first unconventional superconductor, which cannot be explained by the standard theory of Bardeen, Cooper and Schrieffer (BCS theory). These findings foreshadowed the subsequent discovery of high temperature superconductivity in the cuprate materials, where there are a striking number of similarities to heavy fermion superconductors. Furthermore, the energy scales of heavy fermion systems are typically small. As a result, the ground states can be readily tuned by non-thermal parameters and therefore these are important material systems for studying quantum phase transitions.
Since the discovery of topological insulators, researchers have searched for topological states in heavy fermion materials. Here the strong electron-electron interactions make probing this problem using first-principles-calculations and angle-resolved photoemission spectroscopy much more challenging. Evidence for topological surface states has been found in the topological Kondo insulator SmB6. However, robust experimental evidence has not previously been found for topological Kondo semimetals.
There are two possible routes to realize a Kondo-Weyl semimetal. One proposal is to start from a normal Weyl semimetal, and to see whether this becomes a Kondo Weyl semimetal as the Kondo effect is turned on. Another is to tune the spin-orbit coupling strength in the heavy fermion state through a topological phase transition, to reach a Kondo Weyl semimetal phase.

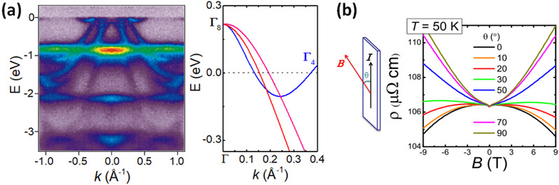
Fig. 1 (a) By comparing the results of ARPES measurements and band structure calculations, the existence of three-fold degenerate band-crossing points is revealed. (b) By measuring the resistivity in applied field magnetic fields and changing the angle between the applied field and the current, evidence for the chiral anomaly is found.

Fig. 2 (a) The results of low temperature heat capacity measurements under various magnetic fields, where the quadratic temperature dependence of the specific heat coefficient is evidence for a linear dispersion of the electronic bands. (b) Topological Hall angle at different temperatures, which provides a measure of the topological contribution to the Hall effect.
YbPtBi is an archetypal example of a heavy fermion semimetal, where the charge carriers pick up extremely large masses at low temperatures. In their work, Prof. Yuan and collaborators utilize a range of experimental methods to show evidence that Weyl fermions exist in this material. At higher temperatures, there is little influence of the Kondo effect on the electronic properties, and a comparison between theoretical calculations and angle-resolved photoemission spectroscopy (ARPES) reveals the existence of band crossing points with a three-fold degeneracy. When a magnetic field is applied, these triply degenerate points are split, with each point yielding a Weyl node. These findings are supported by evidence for the “chiral anomaly”, which is deduced from resistivity measurements in applied magnetic fields.
As the temperature is lowered, the electron-electron interactions begin to strongly affect the physical properties, and the charge carriers become heavy and slow down. This leads to the disappearance of the chiral anomaly in resistivity measurements, but the very large entropy associated with the heavy charge carriers means that the linear band dispersion near the Weyl nodes can be probed by specific heat measurements. Here evidence for Weyl fermions at low temperatures is found from a quadratic temperature dependence of the specific heat coefficient. Meanwhile the topological nature of the electronic state is revealed to persist to very low temperatures, from a significant contribution of the band topology to the Hall effect. This sets YbPtBi as a new paradigm for Weyl fermion semimetals in the presence of the Kondo interaction, providing a valuable platform for studying the interplay of strong electron correlations and band topology.
This work was funded by the National Key R&D Program of China, the National Natural Science Foundation of China and the Science Challenge Project of China, and partially supported by Office of Basic Energy Sciences of the U.S. DOE and the National Science Foundation of USA.
Here is the link to the published article:
For further information, please contact:
Prof. Huiqiu Yuan
Center for Correlated Matter and Department of Physics
Zhejiang University
Tel/Fax: +86 571 88981363
Email: hqyuan@zju.edu.cn
Add: No. 8 Hainayuan Building, Zijingang Campus, Zhejiang University, 866 Yuhangtang Rd, Hangzhou, 310027, P.R. China
Tel: +86-571-87953325
Fax: +86-571-87951895
Email: yongyi@zju.edu.cn