Editor: 周婷 Time: 2017-09-12 Number of visits: 515
In August 2017, Gentaro Watanabe who is working as a faculty member of Department of Physics and Zhejiang Institute of Modern Physics at Zhejiang University has published his research on superfluid density in neutron stars in Physical Review Letters. This work has been done in an international collaboration with Prof. Christopher J. Pethick of Niels Bohr Institute in Denmark. Gentaro Watanabe is the first and corresponding author of this paper.
Pulsars-rotating neutron stars emitting an electromagnetic beam, which is observed as regular pulse signals — behave as very accurate natural clocks. Though accurate, it is also known that the interval of the pulse signals can occasionally suddenly decrease, which is caused by a sudden increase of the rotation frequency of neutron stars. This mysterious phenomenon is called a glitch, and how to understand glitches is an important problem in the physics of neutron stars.
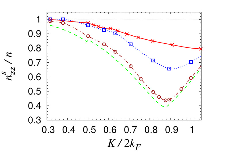
One of the most promising models to explain them was the sudden locking together of the neutron superfluid to the charged particles in the crust of neutron stars. However, the glitch models based on superfluidity have been facing a serious crisis: on the basis of recent calculations of the neutron superfluid density, which assumed weak pairing, it has been argued that, due to the effects of neutron band structure, the neutron superfluid density in the crust was insufficient.
The work by Watanabe and Pethick has saved the glitch models from this crisis. Inspired by Watanabe's earlier work on ultracold atomic gases in an optical lattice, they have studied neutron superfluid density in a periodic lattice taking into account both the effects of band gap and pairing gap. They have demonstrated that, when the pairing gap is comparable to or greater than the band gap, the effects of band structure are strongly suppressed and therefore they have little effect on the superfluid density. Consequently, neutron superfluid density in the crust is large enough that glitch models based on the superfluid neutrons are still tenable. The insights provided by this work pave the way to making improved calculations of the superfluid density, and consequently the work is expected to have an impact on future developments in the field.

This work was supported by NSF of China.
G. Watanabe and C. J. Pethick, Superfluid Density of Neutrons in the Inner Crust of Neutron Stars: New Life for Pulsar Glitch Models, Phys. Rev. Lett. 119, 062701 (2017).
https://journals.aps.org/prl/abstract/10.1103/PhysRevLett.119.062701
Add: No. 8 Hainayuan Building, Zijingang Campus, Zhejiang University, 866 Yuhangtang Rd, Hangzhou, 310027, P.R. China
Tel: +86-571-87953325
Fax: +86-571-87951895
Email: yongyi@zju.edu.cn