Editor: 周婷 Time: 2021-04-23 Number of visits: 196
Hiroyoshi Nakano, Yuki Minami, and Shin-ichi Sasa
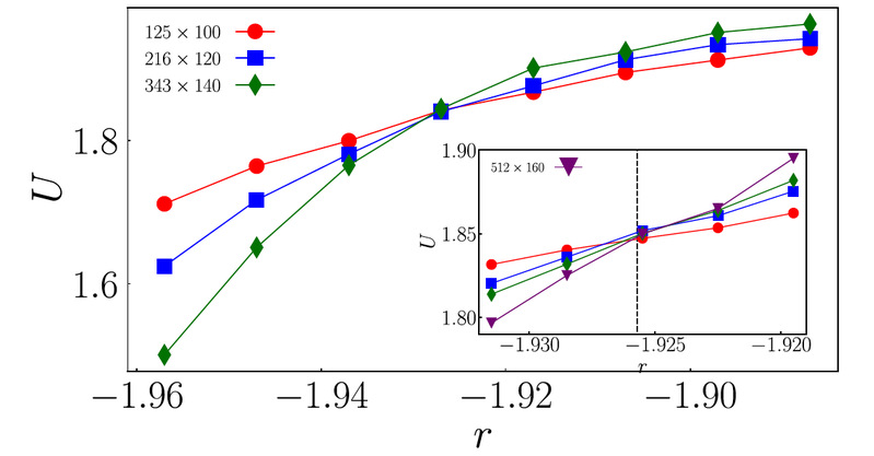
We theoretically and numerically investigate a two-dimensional O(2) model where an order parameter is convected by shear flow. We show that a long-range phase order emerges in two dimensions as a result of anomalous suppression of phase fluctuations by the shear flow. Furthermore, we use the finite-size scaling theory to demonstrate that a phase transition to the long-range ordered state from the disordered state is second order. At a transition point far from equilibrium, the critical exponents turn out to be close to the mean-field value for equilibrium systems.

PHYSICAL REVIEW LETTERS 126, 160604 (2021)
The published article is available at https://journals.aps.org/prl/pdf/10.1103/PhysRevLett.126.160604
Add: No. 8 Hainayuan Building, Zijingang Campus, Zhejiang University, 866 Yuhangtang Rd, Hangzhou, 310027, P.R. China
Tel: +86-571-87953325
Fax: +86-571-87951895
Email: yongyi@zju.edu.cn