2018-11-06
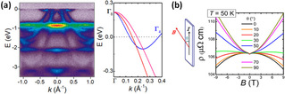
On November 5th, 2018, Nature Communications reported evidence for Weyl fermions in the heavy-fermion semimetal YbPtBi, which provides a new platform for studying the interplay of topology and electron correlations, as well as topological quantum phase transitions.
Read More
2018-08-08
The discovery of topological insulators (TIs) not only enhanced peoples’ understanding of condensed matter, but also revealed TIs to be promising prospects for applications in dissipationless electronic and spintronic devices and quantum computing due to their exotic properties. TIs are insulating in the bulk, just like trivial insulators, but boast conducting surface/edge states which are protected by time reversa
2018-05-14
Superconductors are materials which upon cooling to sufficiently low temperatures, lose their electrical resistance and become perfect conductors. This unusual phenomenon discovered over a century ago has a wide range of applications, notably in Magnetic
2018-04-02
Confined fusion provides the ultimate solution of energy. In a fusion reactor, alpha particles as the fusion product, heat the fuel deuterium and tritium ions, leading to self-sustained burning and effective power gain. Alpha particle related physics is thus, a key issue in the steady state operation of reactors, and consequently,
2018-03-19
The research of Prof. Zhichao Ruan’s group from Department of Physics, Zhejiang University, Spatial differentiator: all-optical analog computing in subwavelength scale, has been selected as “2017’s China top ten breakthroughs in optics -- applications”. Ten fundamental researches
2018-03-11
Recently, Hua Xing Zhu, a tenure track research professor at Zhejiang Institute of Modern Physics, Department of Physics of Zhejiang University, published with collaborators a research paper entitled Analytical computation of energy-energy correlation at next-to-leading order in QCD” in
2018-01-10
Dr Yi ZHENG and his research group from the Department of Physics, ZJU, in collaboration with Dr Da-Wei Shen (Shanghai Institute of Microsystem and Information Technology), have discovered the critical importance of defects in determining the physical properties of emergent the
2017-09-12
Normal010磅02falsefalsefalseEN-USZH-CNX-NONEInAugust2017,GentaroWatanabewhoisworkingasafacultymemberofDepartmentofPhysicsandZhejiangInstituteofModernPhysicsatZhejiangUniversityhaspublishedhisresearchonsuperfluiddensityinneutronstarsinPhysicalReviewLetters.ThisworkhasbeendoneinaninternationalcollaborationwithProf.ChristopherJ.PethickofNielsBohrInstituteinDenmark.GentaroWatanabeisthefirstandcorrespondingauthorofthispaper.Pulsars-rotatingneutronstarsemittinganelectromagneticbeam,whichisobservedasreg
Add: No. 8 Hainayuan Building, Zijingang Campus, Zhejiang University, 866 Yuhangtang Rd, Hangzhou, 310027, P.R. China
Tel: +86-571-87953325
Fax: +86-571-87951895
Email: yongyi@zju.edu.cn